Sitemap
Shopping Cart
0
article(s) | €
0,00
Homepage
Homepage
Sitemap
About Us
About Us
Certified Quality
Know-how
Know-how
Magnetism
Permanent Magnets
Magnetic & Physical Properties
Magnet Design
Flux Density Calculation
Square magnets
Circular Disc Magnets
Magnet Materials
High-energy Magnets
Additional Magnet Materials
Holding Magnets Info
Products / Shop
Products / Shop
Permanent Magnets
DeltaMagnet (SmCo)
NeoDeltaMagnet (NdFeB)
NeoAlphaMagnet (NdFeB, plastic bonded)
AlphaMagnet (SmCo, plastic bonded)
Hard Ferrite Magnets
AlNiCo 500 - Magnets
Betaflex (magnetic rubber)
Holding Magnets
Disc-type Holding Magnets (Hard ferrite)
Disc-type Holding Magnets (with central hole)
Disc-type Holding Magnets (SmCo, NdFeB)
Rubber-covered Holding Magnets
Deep pot Holding Magnets (waterproof)
Deep pot Holding Magnets
Deep pot Holding Magnets (SmCo, NdFeB)
Disc-type Holding Magnets with countersunk screw central hole
Pot Magnets
U Magnets
Small Holding magnets as Inserts
Magnets in Plastic Housing
High-power Magnet Rail
Magnetic Ball Joints
Miniature Holding Magnets
Personal Organiser Magnets
Electrical Holding Magnets
Holding magnets with Electrical Switch-off
Electrical Holding Magnets
Miniature Electrical Holding Magnets
Spreading magnets
Spreading magnets for steel plates
Iron Separation
Iron Catching Blocks
Magnetic Filter Bars, Lattice, Holding Rail
Magnetic Chip Catcher
Handling Magnet
Divers
Betaflex Magnet Tapes
Betaflex Magnet Foil
Magnetic Field Sensor
Magnetic Field Sensor Foil
OfficeClip
Service & Help
Service & Help
General Information
Shipping Information
Request Form
General Sales and Distribution Info
Info for Abroad Customers
Coating Options
Download-Center
Flux Density
Square magnets
Circular Disc Magnets
Disclaimer
Disclaimer
Terms & Conditions
Privacy
Contacts
Contact Form
How to Find Us
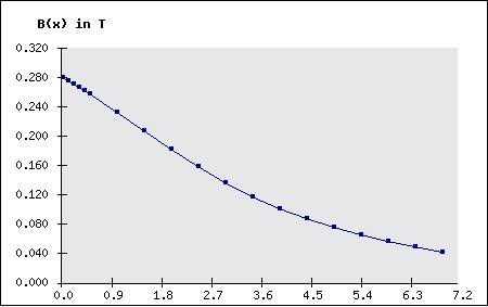
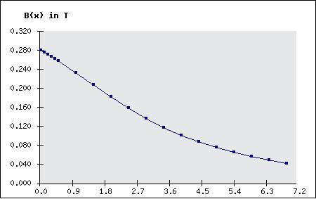
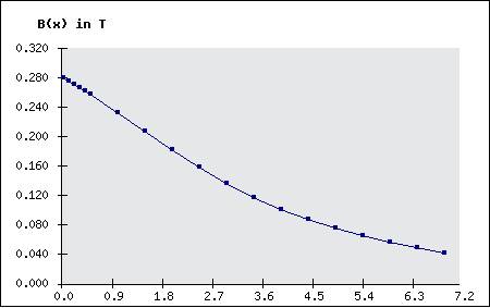
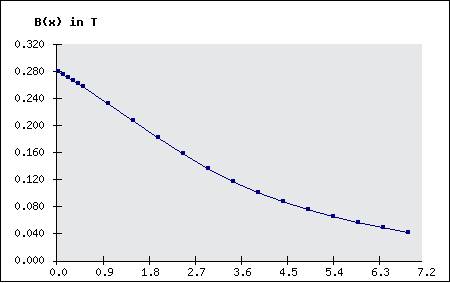
IBS Magnet - Magnetic flux density for circular disc magnets
Our Shop
Direct online ordering options for over 350 types available from stock. Individual advice for custom-made magnets.
to shop
Permanent Magnets
Holding Magnets
Electrical Holding Magnets
Speading magnets
Iron Separation
Divers
Magnet information
Ihr Browser unterstützt keine IFrames.
Download
Catalogue
You are here:
Homepage
Flux Density
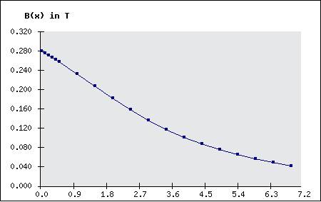
Magnetic flux density
For example, please enter Br as follows:
NeoDeltaMagnet
1.100 mT (1,1T)
DeltaMagnet
1.000 mT (1,0T)
NeoAlphaMagnet
700 mT (0,7T)
AlphaMagnet
600 mT (0,6T)
Hard ferrite
400 mT (0,4T)
Change to square magnets
Br
in T
Diameter
in mm
Length
in mm
Radius
in mm
Distance x
in mm
B(x) in T
5,0
Start value:
0,283
0,1
0,279
0,2
0,274
0,3
0,270
0,4
0,265
0,5
0,261
1,0
0,236
1,5
0,210
2,0
0,185
2,5
0,161
3,0
0,140
3,5
0,121
4,0
0,104
4,5
0,090
5,0
0,077
5,5
0,067
6,0
0,058
6,5
0,051
7,0
0,044
Calculate